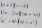
• Упростите выражения :


    Решите 3 примера

    question img

Ответы 1

  • 1). x вквадрате - 162). 25 n в квадрате-9m в квадрате3 ). 16 b в квадрате - а в четвёртой
  • Добавить свой ответ

Войти через Google

или

Забыли пароль?

У меня нет аккаунта, я хочу Зарегистрироваться

How much to ban the user?
1 hour 1 day 100 years