• Решите один пример 50 баллов
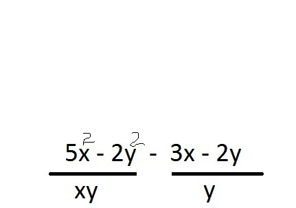
    Там сверху 2 степень

    question img

Ответы 2

  • Ответ должен быть 2x^2+2xy-y^2/xy
  • даёте общий знаменатель xy, вторую дробь умножаете на x и дальше я же написал
    • Автор:

      jagger
    • 5 лет назад
    • 0
  • Добавить свой ответ

Еще вопросы

Войти через Google

или

Забыли пароль?

У меня нет аккаунта, я хочу Зарегистрироваться

How much to ban the user?
1 hour 1 day 100 years