• 99 баллов, за ответы не по теме жестко блокировать буду.

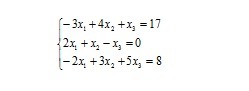
    Решить систему уравнений методом Гаусса. Указать общее и одно частное решения.

    question img

Ответы 2

  • Спасибо большое
    • Автор:

      pokey
    • 6 лет назад
    • 0
  • Да, забыл написать. Решение единственное, поэтому никаких общих и частных решений нет, только это.
  • Добавить свой ответ

Войти через Google

или

Забыли пароль?

У меня нет аккаунта, я хочу Зарегистрироваться

How much to ban the user?
1 hour 1 day 100 years