• Система уравнений,помогите пожалуйста.Мне честно для проверки.

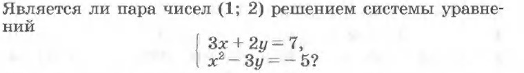
    question img

Ответы 1

  • 3*1+2*2=71-3*2=-53+4=71-6=-5Ответ: пара чисел ( 1;2) является решением системы
    • Автор:

      obrien
    • 6 лет назад
    • 0
  • Добавить свой ответ

Войти через Google

или

Забыли пароль?

У меня нет аккаунта, я хочу Зарегистрироваться

How much to ban the user?
1 hour 1 day 100 years