• Помогите пожалуйста с номерами !!! ДАЮ 34 БАЛЛА!!! Условие найти область определения

    question img
    question img

Ответы 3

  • можешь еще помочь
  • см.прикрепленный файл!
    answer img
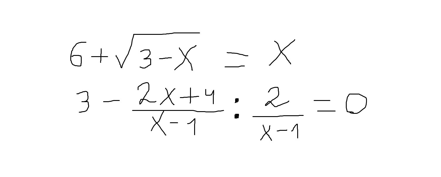
  • 6+√(3-x)=x⇒√(3-x)=x-6{3-x≥0⇒x≤3{x-6≥0⇒x≥6x∈∅3-(2x+4)/(x-1):2/(x-1)=0x-1≠0⇒x≠1x∈(-∞;1) U (1;∞)(x+5²)/(x-5)=-6x/(5-x)x-5≠0⇒x≠5x∈(-∞;5) U (5;∞)
    answer img
  • Добавить свой ответ

Еще вопросы

Войти через Google

или

Забыли пароль?

У меня нет аккаунта, я хочу Зарегистрироваться

How much to ban the user?
1 hour 1 day 100 years