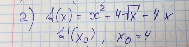
• Найти производную заданной функции
    И найти производную в конкретной точке

    question img

Ответы 1

  • f'(x) = 2x+4*(1/(2√x))-4=2x+2/√x-4.f'(4)=2*4+2/√4 -4=8+1-4=5
    • Автор:

      jags
    • 6 лет назад
    • 0
  • Добавить свой ответ

Войти через Google

или

Забыли пароль?

У меня нет аккаунта, я хочу Зарегистрироваться

How much to ban the user?
1 hour 1 day 100 years