• решите уравнение. 




    ПОМОГИТЕ ПЛИЗЗЗЗЗЗ

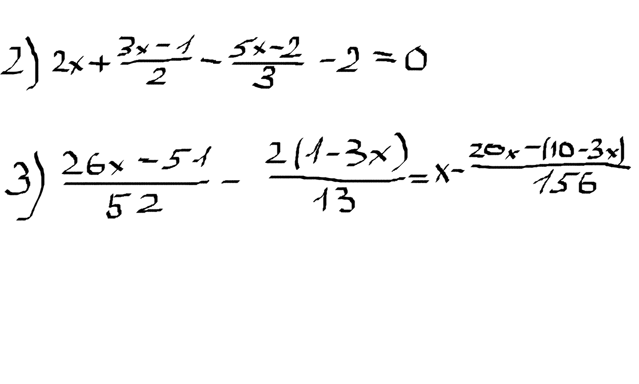
    question img

Ответы 1

  •           3х-1           5х-22х+ --------------  -  -------------  -2   =0 /*6              2                 3    12х+3*(3х-1)-2*(5х-2)-12=012х+9х-3-10х+4-12=012х+9х-10х=0+3-4+1211х=11х=11:11х=126х-51       2*(1-3х)                  20х-(10-3х)   -----------  -  ------------------  = х-   ----------------------------         52              13                             15626х-51             2-6х                            17х-10   ---------------   -   -------------------    = х -   --------------------------------     /*156        52                   13                                      156 3*(26х-51) - 12*(2-6х)=х-17х-1078х-153-24+72х= -16х-1078х+72х+16х= -10+153+24166х=167х=167:166х=1 1/166
  • Добавить свой ответ

Войти через Google

или

Забыли пароль?

У меня нет аккаунта, я хочу Зарегистрироваться

How much to ban the user?
1 hour 1 day 100 years