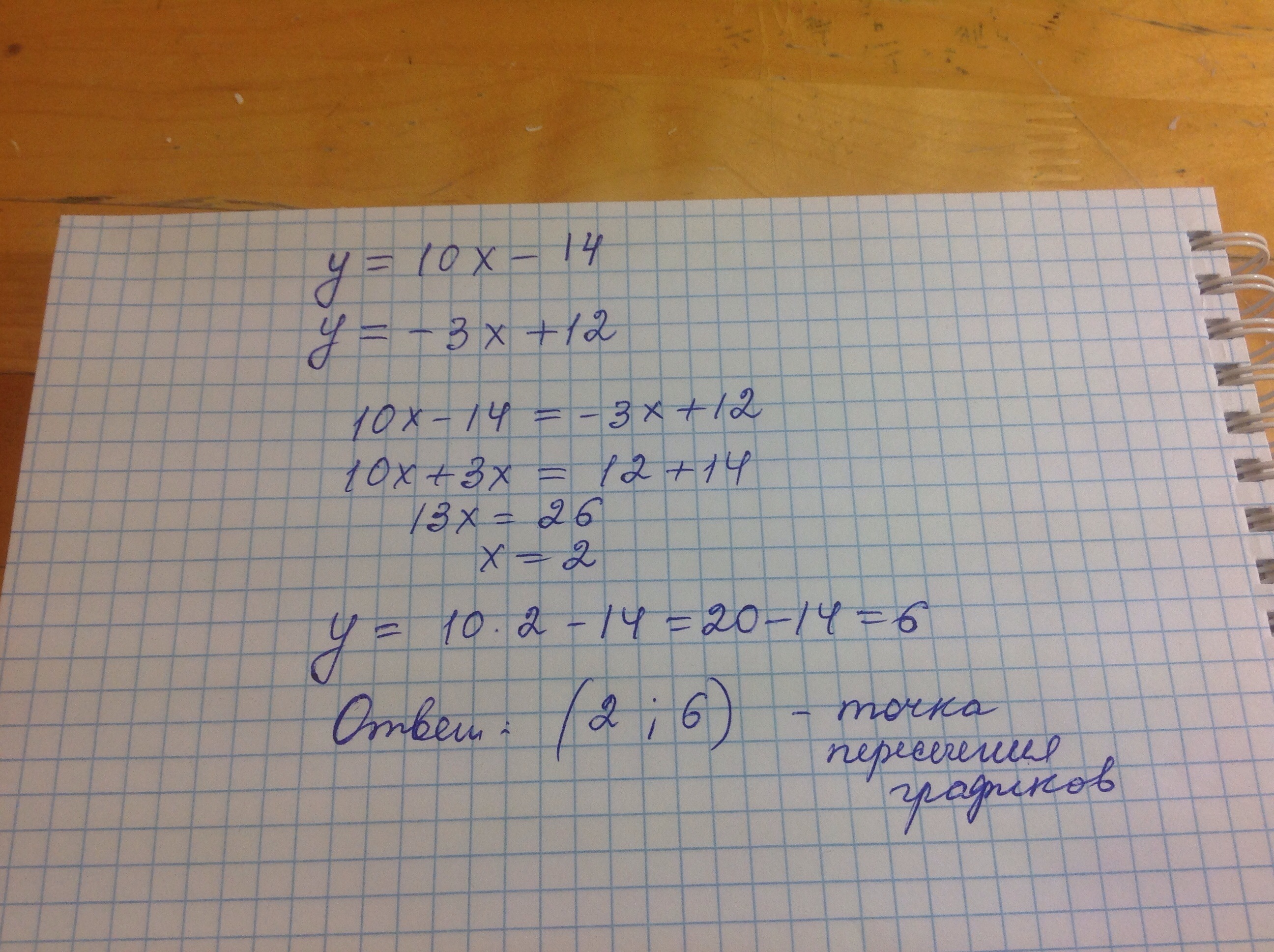
• Не выполняя построения найдите координаты точек пересечения графика функции игрек равен 10 икс минус 14 и игрек равно минус 3 Икс плюс 12

Ответы 1

  • Решение смотри на фото
    answer img
  • Добавить свой ответ

Войти через Google

или

Забыли пароль?

У меня нет аккаунта, я хочу Зарегистрироваться

How much to ban the user?
1 hour 1 day 100 years