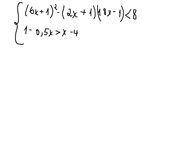
• решите систему неравенств и укажите наибольшее целое решение для каждой из них

    question img

Ответы 1

  • !!!!!!!!!!!!!!!!!!!!!!!!!!!
    answer img
    • Автор:

      kate79
    • 6 лет назад
    • 0
  • Добавить свой ответ

Войти через Google

или

Забыли пароль?

У меня нет аккаунта, я хочу Зарегистрироваться

How much to ban the user?
1 hour 1 day 100 years