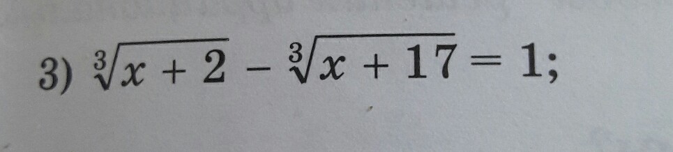
• Решите уравнение.
    Ответ:[-1;23]
    Необходимо решение

    question img

Ответы 2

  • почему (x+2)^(1/3)-(x+17)^(1/3)=1 ?
    • Автор:

      audi
    • 6 лет назад
    • 0
  • !!!!!!!!!!!!!!!!!!!!!!!!!!!
    answer img
    • Автор:

      ricardo76
    • 6 лет назад
    • 0
  • Добавить свой ответ

Войти через Google

или

Забыли пароль?

У меня нет аккаунта, я хочу Зарегистрироваться

How much to ban the user?
1 hour 1 day 100 years