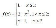
Утверждение:Функция

непрерывна в

.Доказательство:Для всех

, функция

является постоянной.Следовательно, для всех

выполняется:
=1=f(x_0))
Т.е. данная функция непрерывна в
)
.Докажем что,
=f(1)=1)
Для этого достаточно найти односторонние пределы:
, \lim_{x \to 1^+} f(x))
Для всех

выполняется
=1)
, следовательно:
 =1=f(1))
Для всех

выполняется
=2-x^2)
, следовательно:
 =\displaystyle \lim_{x \to 1^+} (2-x^2)=2-1=1=f(1))
Отсюда следует:
=f(1))
Следовательно,

непрерывна в

.Для всех

, выполняется
=x-1)
. Следовательно, для всех
)
выполняется:
= \lim_{x \to x_0} (x-1)=x_0-1=f(x_0))
Т.е.

непрерывна в
)
.Таким же образом,

непрерывна в
)
, т.к.:
=\lim_{x \to x_0} (2-x^2)=2-x_0^2=f(x_0))
Для всех
)
.Теперь докажем что

точка разрыва типа "скачок":Для всех

,
=2-x^2)
следовательно:
= \lim_{x \to 2^-} (2-x^2)=2-2^2=-2)
Однако, для всех

,
=x-1)
. Следовательно:
= \lim_{x \to 2^+}(x-1)=2-1=1)
Т.е.
e\lim_{x \to 2^-}f(x))
.В итоге, получаем что

непрерывна в

.Ч.Т.Д.