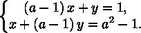
• Найдите все значения параметра a, при которых система имеет бесконечное множество решений:

    question img

Ответы 3

  • Точно?
  • Ответ неверен
  • При а=0 система имеет бесконечное множество решений:
    • Автор:

      hunter783
    • 6 лет назад
    • 0
  • Добавить свой ответ

Войти через Google

или

Забыли пароль?

У меня нет аккаунта, я хочу Зарегистрироваться

How much to ban the user?
1 hour 1 day 100 years