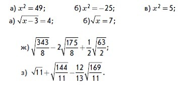
• решите пожалуйста как можно быстрее (Только Б и Ж с развернутым ответом)

    question img

Ответы 2

  • реши пожалуйста и все остальное,ы напиши ток ответ
  • б√x=7(√x)²=7²x=49ж√(7³/2³)-2*√(5²*7/2³)+1/2*√(3²*7/2)=7/2*√(7/2)-2*5/2*√(7/2)+1/2*3*√(7/2)=√(7/2)*(7/2-5+3/2)=√(7/2)*0=0
    • Автор:

      jadenjpja
    • 6 лет назад
    • 0
  • Добавить свой ответ

Войти через Google

или

Забыли пароль?

У меня нет аккаунта, я хочу Зарегистрироваться

How much to ban the user?
1 hour 1 day 100 years