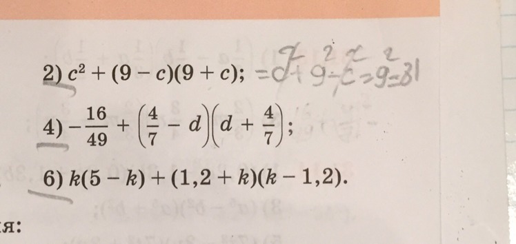
• Упростите выражения.помогите выполнить задание по алгебре

    question img

Ответы 1

  • 2)с2+81+9c-9c-c2=814)-16/49+4/7d+28/49-d2-4/7d=-16/49+28/49-d2=d2+12/496)5k-k2+1.2k-1.44+k2-1.2k=5k-1.44
    • Автор:

      tripod
    • 6 лет назад
    • 0
  • Добавить свой ответ

Войти через Google

или

Забыли пароль?

У меня нет аккаунта, я хочу Зарегистрироваться

How much to ban the user?
1 hour 1 day 100 years