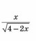
• Добавить все значения переменной х при которых выражение имеет смысл

    question img

Ответы 2

  • Знаменатель не может быть равен 0, а под корнем не может быть отрицательного значения. Ошибочка в первом предложеним
  • x не равно 2, так как в знаменателе не может быть отрицательного значения.Также под корнем не может быть отрицательного значения.4-2х>0-2x>-4 (делим на -2)x<2Ответ: (-∞; 2)
  • Добавить свой ответ

Войти через Google

или

Забыли пароль?

У меня нет аккаунта, я хочу Зарегистрироваться

How much to ban the user?
1 hour 1 day 100 years