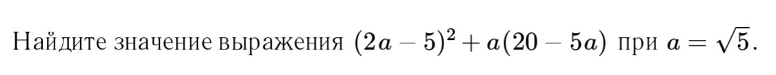
• Найдите значение выражения
    (2а-5)^2+а(20-5а) при а=КОРЕНЬ ИЗ 5

    question img

Ответы 1

  • 4a^2-20a+25+20a-5a^2=25-a^2=25-5=20
    • Автор:

      gordo
    • 5 лет назад
    • 0
  • Добавить свой ответ

Войти через Google

или

Забыли пароль?

У меня нет аккаунта, я хочу Зарегистрироваться

How much to ban the user?
1 hour 1 day 100 years