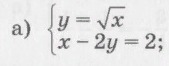
• с помощью графиков определите сколько решений имеет система уравнений:
    Из интернета решений ненадо, разложить 2 уравнение, таблица и график. Если нормально сделаете, лучший ответ будет.

    question img

Ответы 1

  • {y=√x ветвь параболы{y=0,5x-1 прямаяx  0   1   4   9y  0   1   2   3x   2     4y   0     1(7,6;2,8)
    answer img
    • Автор:

      ruizpinp
    • 6 лет назад
    • 0
  • Добавить свой ответ

Войти через Google

или

Забыли пароль?

У меня нет аккаунта, я хочу Зарегистрироваться

How much to ban the user?
1 hour 1 day 100 years