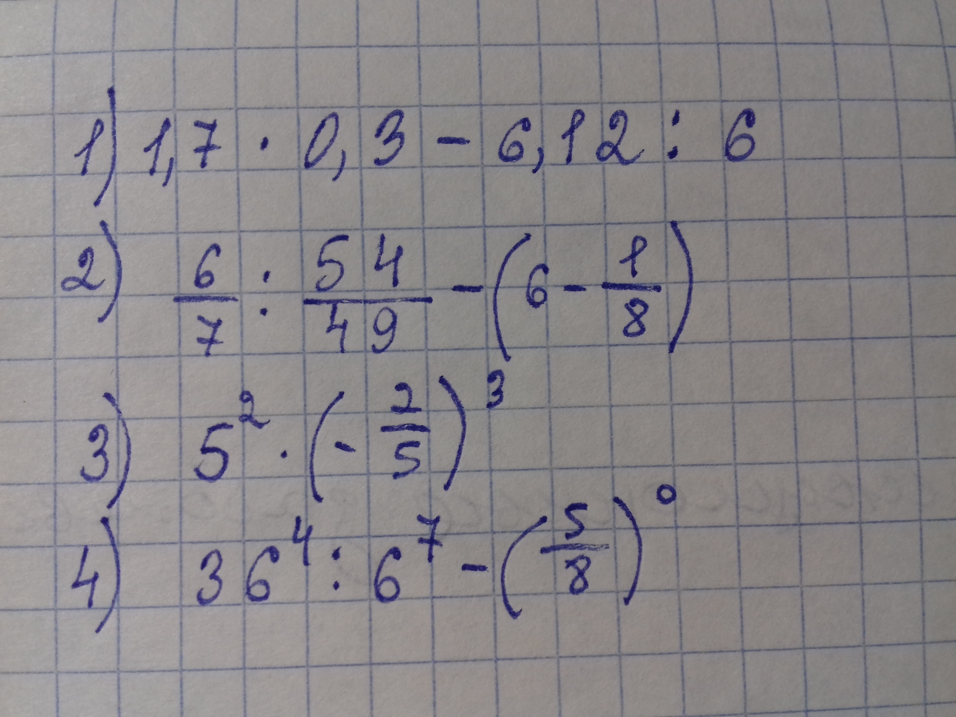
• Помогите пожалуйста решить и объясните как вы это решили, я просто не понимаю. 4 примера на фото:

    question img

Ответы 9

  • вы степень 6-ую указали у 36, поэтому у нас не совпало)
    • Автор:

      triston
    • 6 лет назад
    • 0
  • 1)-0,51 2)-5 целых 7/72 3)-1 целая 3/5 4)5
  • ИСПРАВИЛА))))1) -0,51-1,02=-0,512) 6/7*49/54-(6-1/8)=7/9-5 целых 7/8=7/9-47/8=(7*8-47*9)/72=(56-423)/72= =- 347/72=- 4 целых 59/723)5^2*(-2/5)^3=25*(-8/125)=-8/5=-1 целая 3/54)36^4:6^7-(5/8)^0=(6^2)^4:6^7-1=6^8/6^7-1=6-1=5
    • Автор:

      doggon’
    • 6 лет назад
    • 0
  • ой, пока нет, ВОТ))) ИСПРАВИЛА))))1) -0,51-1,02=-0,512) 6/7*49/54-(6-1/8)=7/9-5 целых 7/8=7/9-47/8=(7*8-47*9)/72=(56-423)/72= =- 367/72=- 5 целых 7/723)5^2*(-2/5)^3=25*(-8/125)=-8/5=-1 целая 3/54)36^4:6^7-(5/8)^0=(6^2)^4:6^7-1=6^8/6^7-1=6-1=5
  • 0,51-1,02=-0,51 без минуса
    • Автор:

      chippy
    • 6 лет назад
    • 0
  • Модераторы, пожалуйста мою фотку и решение моЁ над фоткой неверное удалите. я бы только это оставила: 1) 0,51-1,02=-0,512) 6/7*49/54-(6-1/8)=7/9-5 целых 7/8=7/9-47/8=(7*8-47*9)/72=(56-423)/72= =- 367/72=- 5 целых 7/723)5^2*(-2/5)^3=25*(-8/125)=-8/5=-1 целая 3/54)36^4:6^7-(5/8)^0=(6^2)^4:6^7-1=6^8/6^7-1=6-1=5 Если возможно, пусть еще кто-то проверит, не хотелось бы еще ошибку оставлять
  • я понял)
  • 1) 5,1-1,02=4,082) 6/7*49/54-(6-1/8)=7/9-5 целых 7/8=7/9-47/8=(7*8-47*9)/72=(56-403)/72=      =- 347/72=- 4 целых 59/723)5^2*(-2/5)^3=25*(-8/125)=-8/5=-1 целая 3/54)36^4:6^7-(5/8)^0=(6^2)^4:6^7-1=6^8/6^7-1=6-1=5
    answer img
    • Автор:

      kissy
    • 6 лет назад
    • 0
  • Здесь не сложно,подойди к учителю и попроси объяснить тему еще раз,а пока вот сиди разбирайся.1)1.7×0.3-6.12:6 Первонаперво смотрим что в начале:Сначала умножение,потом деление и только после вычитание результатов.1.7×0.3 = 0.51 ( 3 на 17 и на две цифры смещение запятой влево.6.12 :6 = 1,020.51 -1.02 = (-0.51) На всякий.2)При делении дробей,та дробь, на которую делят переворачиваят и потом идет умножение.Я не знаю как объяснить тебе целую часть,проходил давно,подойди к учителю,вот примеры с ее выделением : \frac{18}{5} = 3 \frac{3}{5}  \frac{29}{14} = 2 \frac{1}{14} Итак  \frac{6}{7} \div \frac{54}{49} = \frac{6}{7} \times \frac{49}{54} дальше идут сокращения в итоге  \frac{7}{9} Дальше 6 - \frac{1}{8} = 5 \frac{7}{8} В итоге  \frac{7}{9} - 5 \times \frac{7}{8} = приводишь к общему знаменателю  \frac{56}{72} - 5 \frac{63}{72} = - 5 \frac{7}{72} 3) {5}^{2} = 5 \times 5Тобишь 25( - { \frac{2}{3} }^{3} ) = - \frac{2}{3} \times - \frac{2}{3} \times - \frac{2}{3} = - \frac{16}{125} 25 \times - \frac{16}{125} = - 3 \frac{1}{5} 4 Смотри у автора выше,я допустил грубую ошибку и мне дико лень
    answer img
    • Автор:

      randall99
    • 6 лет назад
    • 0
  • Добавить свой ответ

Войти через Google

или

Забыли пароль?

У меня нет аккаунта, я хочу Зарегистрироваться

How much to ban the user?
1 hour 1 day 100 years