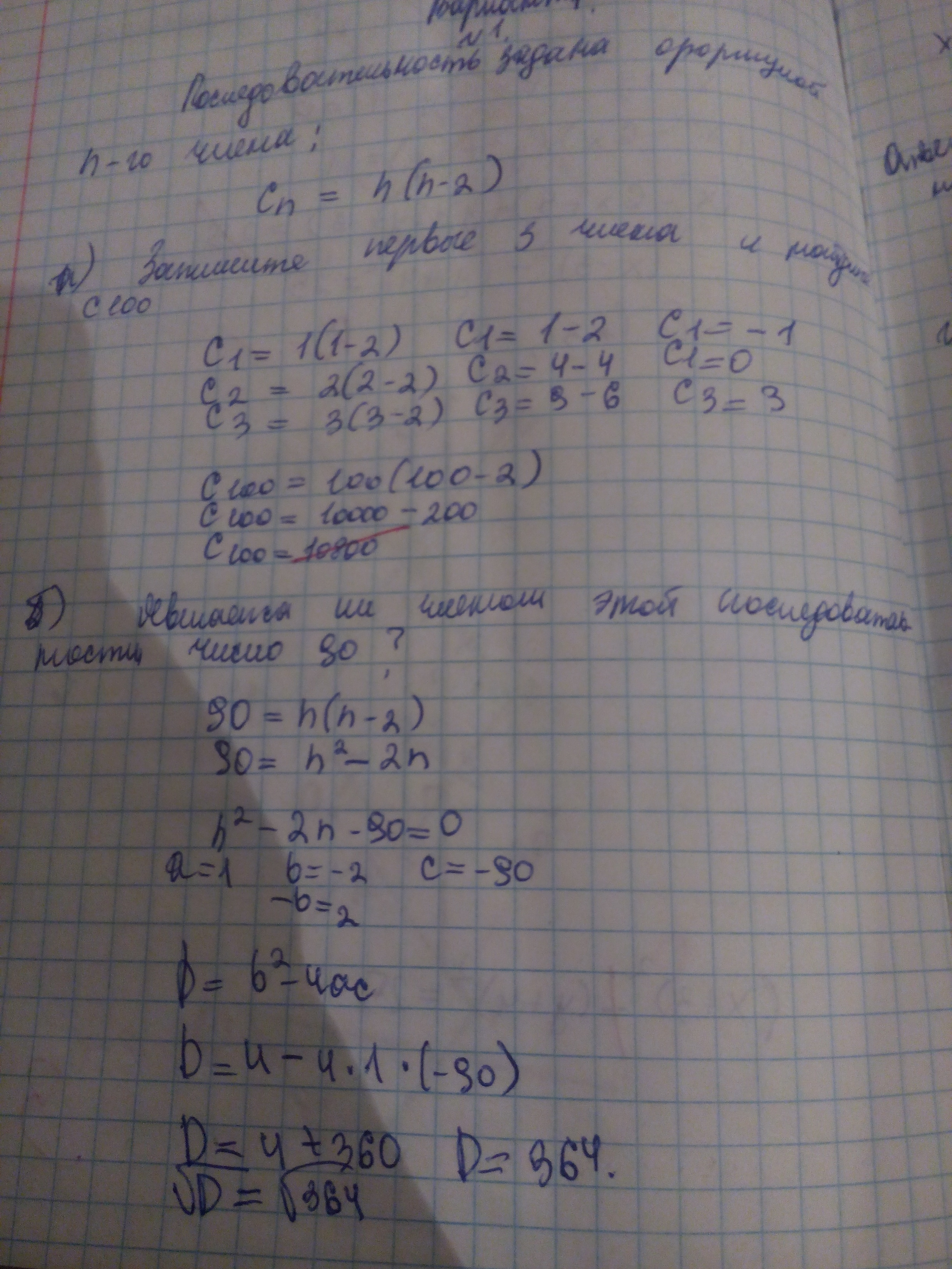
• 1. Последовательность задана формулой п-го члена:
    n (n- 2)
    а) Запишите первые три члена этой последоваяельно-
    сти: найдите С100-
    б) Является ли членом этой последовательности чис-
    ло 90?
    2 Одна из двух данных последовательностей является
    арифметической прогрессией, другая геометрической
    прогрессией:
    (x) 10:95:90:
    а) Продолжите каждую из этих прогрессий, записав
    следующие три ее члена.
    6) Найдите пятнадцатый член арифметической прогрес-
    сии.
    91
    3 делая зарядку в первый день весенних каникул, Кирилл
    прыгнул через скакалку 20 ра13. Каждый следующий
    день он делал в 2 раза больше прыжков, чем в преды-
    дущий. Сколько всего прыжков сделал Кирилл за
    5 дней весенних каникул?
    дополнительная часть
    4 Между числами -9 и -2 вставьте пять. чисел так, чтобы
    получилась арифметическая прогрессия.
    5. Найдите сумму первых пяти членов геометрической
    прогрессии, третий член которой равен 135, а шестой
    член равен 5.
    6. На изготовление одной детали автомат затрачивает
    10 мин. Планируется повышать производительность
    работы автомата ежемесячно на 5% Запишите выраже-
    ние для вычисления времени, которое будет затра-
    чивать автомат на изготовление одной детали через
    4 месяца.
    пжж помогите умоляю вас (((((((

    question img

Ответы 1

  • Там в первом номере С100=9800
    answer img
    answer img
    answer img
    answer img
    • Автор:

      honeyud4s
    • 2 года назад
    • 6
  • Добавить свой ответ

Войти через Google

или

Забыли пароль?

У меня нет аккаунта, я хочу Зарегистрироваться

How much to ban the user?
1 hour 1 day 100 years