• Помогайте. Крайний срок завтра! Алгебра. Даю 25 баллов. Решите пожалуйста.

    question img

Ответы 6

  • а так подойдет -(у+х) ? ето тот же ответ токо без открытых скобок
    • Автор:

      kiwi60
    • 6 лет назад
    • 0
  • Смотри. Щас скину фотку с доски.
    • Автор:

      drake74
    • 6 лет назад
    • 0
  • В лс.
  • https://znanija.com/task/29057726
    • Автор:

      callie21
    • 6 лет назад
    • 0
  • Вот смотри. Там фотка с доски!
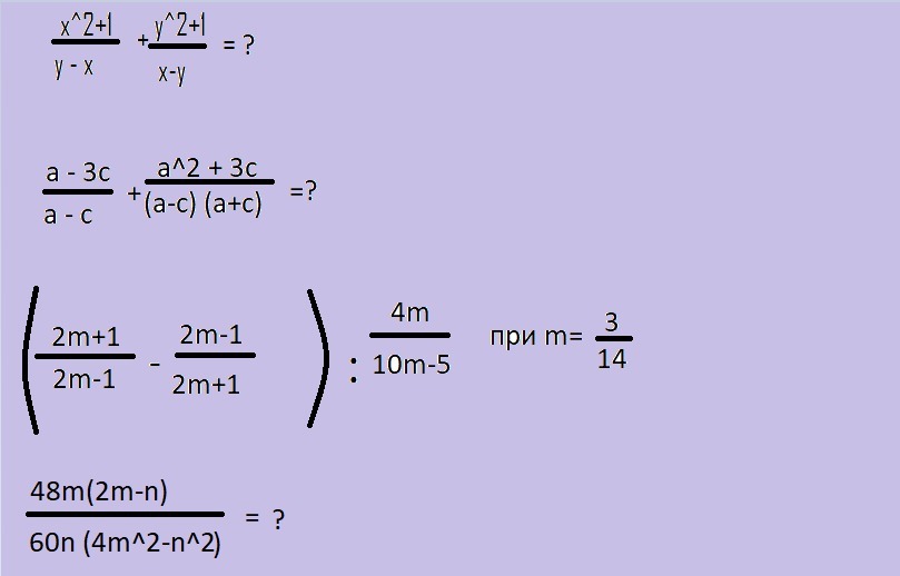
  • в первом уравнении ответ -у-хв втором 2а²-2ас-3с²+3с поделить (полоска дроби ) на а²-с²в третьем ответ 7в четвертом ответ 4м поделить ( полоска дроби) на 10мн+5n²
    • Автор:

      raymacias
    • 6 лет назад
    • 0
  • Добавить свой ответ

Войти через Google

или

Забыли пароль?

У меня нет аккаунта, я хочу Зарегистрироваться

How much to ban the user?
1 hour 1 day 100 years