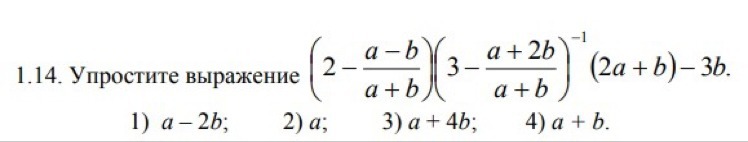
• Помогите решить, пожалуйста, очень нужно, спасибо Вам за помощь!

    question img

Ответы 2

  • См фото))))))))))))))))))))))))))))))

    answer img
  • ..........................

    answer img
  • Добавить свой ответ

Войти через Google

или

Забыли пароль?

У меня нет аккаунта, я хочу Зарегистрироваться

How much to ban the user?
1 hour 1 day 100 years