• Помогите пожалуйста с дз на лето ) Алгебра
    2,3,4, пожалуйста

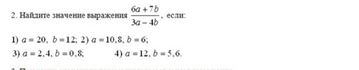
    question img

Ответы 2

  • а где числа с запятами , такие как 10.8,
    • Автор:

      aylarivr
    • 6 лет назад
    • 0
  • 1. 6 * 20 + 7 * 12/3 * 20 - 4 * 12 = 120 + 84/60 - 48 = 204/12 = 17

    2. 6 * 10 + 7 * 6/3 * 10 - 4 * 6 = 60 + 24/30 - 24 = 102/6 = 17

    3. 6 * 2,4 + 7 * 0,8/3 *2,4 - 4 * 0,8 = 14,4 + 5,6/7,2 - 3,2 = 20/4 = 5

    4. хз

    • Автор:

      scott
    • 6 лет назад
    • 0
  • Добавить свой ответ

Еще вопросы

Войти через Google

или

Забыли пароль?

У меня нет аккаунта, я хочу Зарегистрироваться

How much to ban the user?
1 hour 1 day 100 years