• решите пожалуйста!!!! очень легко, но не для меня)))

    question img

Ответы 2

  • там с объяснениями,наверное понятно.
    answer img
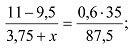
  •  \frac{11-9,5}{3,75+x}=\frac{0,6\cdot 35}{87,5}\; \; ,\; \; ODZ:\; \; xe -3,75\\\\\frac{1,5}{3,75+x}=\frac{21}{87,5}\\\\21\cdot (3,75+x)=1,5\cdot 87,5\\\\21\cdot (3,75+x)=131,25\\\\3,75+x=6,25\\\\x=2,5

    answer img
    • Автор:

      pierre
    • 6 лет назад
    • 0
  • Добавить свой ответ

Еще вопросы

Войти через Google

или

Забыли пароль?

У меня нет аккаунта, я хочу Зарегистрироваться

How much to ban the user?
1 hour 1 day 100 years