• Помогите, пожалуйста. (см.картинку) Как получили 35 после решения системы? (желательно с решением мне)

    question img

Ответы 4

  • Спасибо!
    • Автор:

      blesa
    • 6 лет назад
    • 0
  • Спасибо большое!
    • Автор:

      ruthmoran
    • 6 лет назад
    • 0
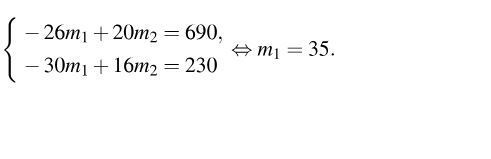
  •  - 26m1 + 20m2 = 690 \\ - 30m1 + 16m2 = 230 \\ Разделим оба уравнения на 2:  - 13m1 + 10m2 = 345 \\ - 15m1 + 8m2 = 115 \\ Домножим первое уравнение на 4, а второе на 5: - 52m1 + 40m2 = 1380 \\ - 75m1 + 40m2 = 575 Вычтем из первого уравнения второе: - 52m1 - ( - 75m1) = 1380 - 575 \\ - 52m1 + 75m1 =805 \\ 23m1 = 805 \\ m1 = \frac{805}{23} = 35 \\ m2 = (115 + 15m1) \div 8 = (115 + 525) \div 8 = 640 \div 8 = 80
  • Смотри во вложенииииии
    answer img
  • Добавить свой ответ

Войти через Google

или

Забыли пароль?

У меня нет аккаунта, я хочу Зарегистрироваться

How much to ban the user?
1 hour 1 day 100 years