• Помогите пожалуйста! Очень прошу.

    Зив. Контрольная работа #1, 4 вариант.

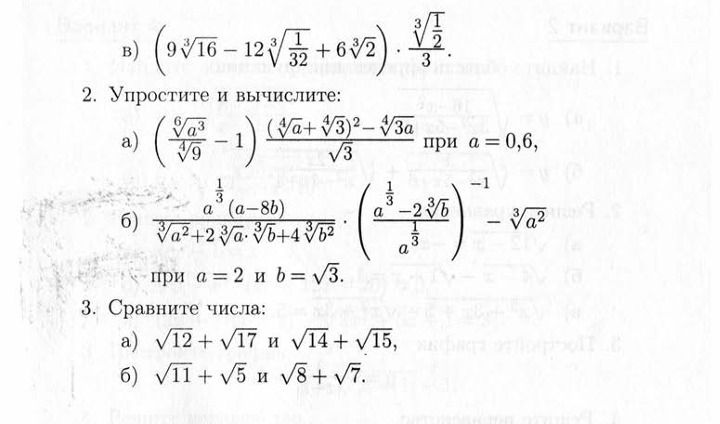
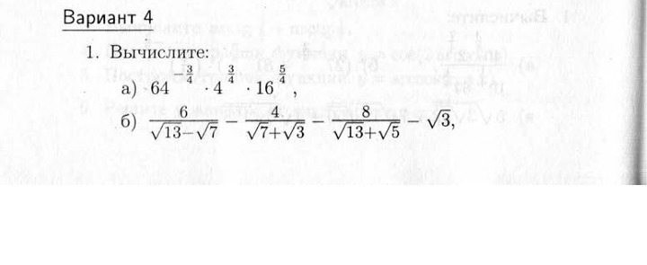
    question img
    question img

Ответы 3

  • Благодарю, сижу решаю, на 2 (3 решила) все кстати правильно!!!))))
  • А 2 можно?
  • !!!!!!!!!!!!!!!!!!!!!!!!

    answer img
    • Автор:

      cortez
    • 6 лет назад
    • 0
  • Добавить свой ответ

Войти через Google

или

Забыли пароль?

У меня нет аккаунта, я хочу Зарегистрироваться

How much to ban the user?
1 hour 1 day 100 years