• Пожалуйста помогите с Алгеброй 20б

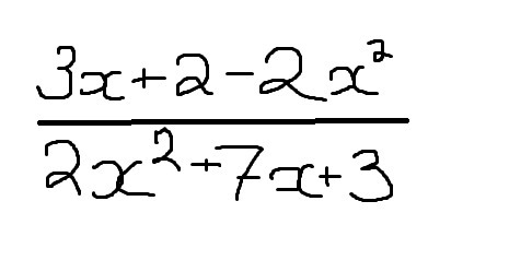
    Сократите дробь:

    question img

Ответы 1

  • ==== -2x^2+3x+2/2x^2+10

    • Автор:

      adán56
    • 6 лет назад
    • 0
  • Добавить свой ответ

Войти через Google

или

Забыли пароль?

У меня нет аккаунта, я хочу Зарегистрироваться

How much to ban the user?
1 hour 1 day 100 years