• По заданным уравнениям определить название, вид линии и построить их.

    question img

Ответы 1

  • Данные ответы могу быть не верным так как не совсем ясно, что именно требуеться, но все же я думаю это должно подойти.

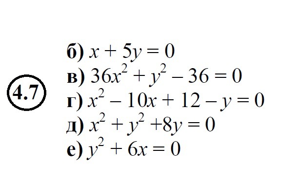
    б) х + 5у = 0

    5у = -х

    у = -х/5

    функция прямой

    прямая линия

    в) 36x^2 +y^2 - 36 = 0

    y^2 = 36 - 36x^2

    y = sqrt(36(1 - x^2))

    y = 6 * sqrt(1 - x^2)

    степенная функция

    перевернутая парабола

    г) x^2 - 10x +12 - y = 0

    x^2 - 10x +12 = y

    функция параболы

    парабола

    д) x^2 + y^2 + 8y = 0

    функция параболы

    перевернутая парабола

    у) y^2 + 6x = 0

    y^2 = -6x

    y = sqrt(-6x)

    степенная функция

    график параболы

    • Автор:

      tapia
    • 6 лет назад
    • 0
  • Добавить свой ответ

Войти через Google

или

Забыли пароль?

У меня нет аккаунта, я хочу Зарегистрироваться

How much to ban the user?
1 hour 1 day 100 years