• Не понимаю, как область определения находится в тригонометрических функциях.В интернете ничего так и не нашел... был бы признателен за помощь, как найти область определения,заранее спасибо!!

    question img

Ответы 3

  • Спасибо большое)) А не подскажите,откуда вы взяли эти значения? По табличке какой-то?
    • Автор:

      bucky
    • 6 лет назад
    • 0
  • это решение наипростейших трегонометрический уравнений, это от туда. типа sinx=a x=...
    • Автор:

      yamilet
    • 6 лет назад
    • 0
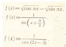
  • sin(x+π/3)≠0x+π/3≠πn, nєZx≠-π/3 +πn, nєZ.
    • Автор:

      essence
    • 6 лет назад
    • 0
  • Добавить свой ответ

Войти через Google

или

Забыли пароль?

У меня нет аккаунта, я хочу Зарегистрироваться

How much to ban the user?
1 hour 1 day 100 years