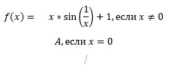
• Исследовать на непрерывность, при каком параметре А функция непрерывна.

    question img

Ответы 1

  • Функция sin(1/x) ограничена, функция х бесконечно малая при х стремящемся к 0. Поэтому предел функции f(x) при х стремящемся к 0 равен 1. Отсюда следует, что А =1.

    • Автор:

      iván61
    • 6 лет назад
    • 0
  • Добавить свой ответ

Войти через Google

или

Забыли пароль?

У меня нет аккаунта, я хочу Зарегистрироваться

How much to ban the user?
1 hour 1 day 100 years