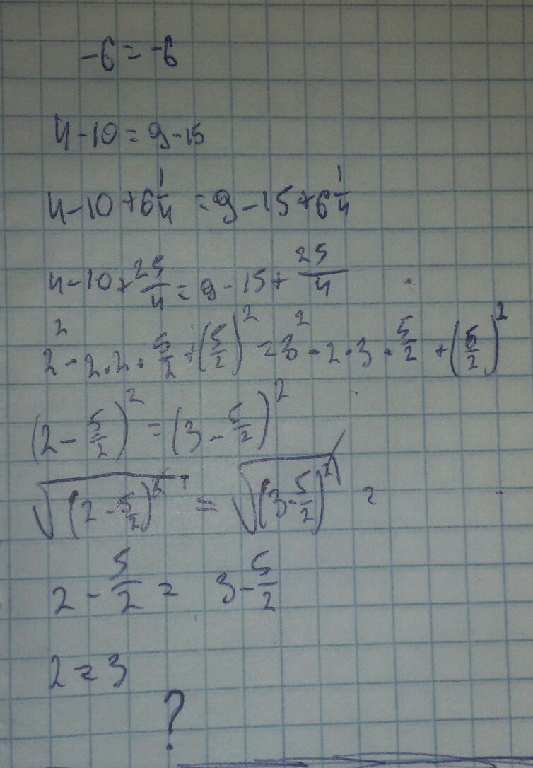
• Найти ошибку на фото.....
    [tex].......[/tex]

    question img

Ответы 2

  • I 2-5/2 I=I 3-5/2 I ТОЛЬКО по МОДУЛЮ равны!

    • Автор:

      keenan
    • 6 лет назад
    • 0
  • \sf \sqrt{x^2}=|x|  - свойство корней четной степени.

    Поэтому ошибка в предпоследней строчке

    \sf \sqrt{\left(2-\dfrac{5}{2}ight)^2}=\sqrt{\left(3-\dfrac{5}{2}ight)^2} \\ \\ \left|2-\dfrac{5}{2}ight|=\left|3-\dfrac{5}{2}ight| \\ \\ |-0.5|=|0.5| \\ \\ 0.5=0.5

  • Добавить свой ответ

Еще вопросы

Войти через Google

или

Забыли пароль?

У меня нет аккаунта, я хочу Зарегистрироваться

How much to ban the user?
1 hour 1 day 100 years