• Помогите пожалуйста,очень срочно,буду сильно благодарен!!!

    question img

Ответы 3

  • От души братан!
    • Автор:

      jax32
    • 6 лет назад
    • 0
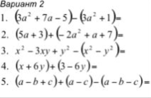
  • 1) 3a²+7a-5-3a²-1= 7a-6

    2) 5a+3-2a²+a+7= -2a²+6a+10

    3) x²-3xy+y²-x²+y²= 2y²-3xy

    4) x+6y+3-6y= x+3

    5) a-b+c+a-c-a+b+c= a+c

    • Автор:

      plutoqumu
    • 6 лет назад
    • 0
  • вот если разберешся)
    answer img
  • Добавить свой ответ

Войти через Google

или

Забыли пароль?

У меня нет аккаунта, я хочу Зарегистрироваться

How much to ban the user?
1 hour 1 day 100 years