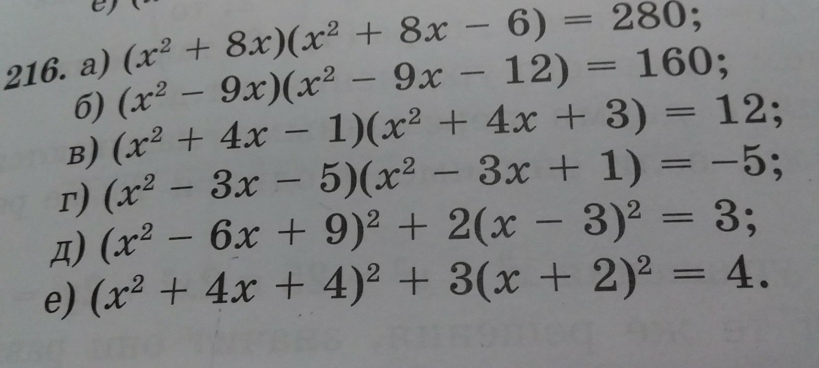
• помогите пожалуйста, ребят. Буду благодарна. Нужно решение только е

    question img

Ответы 3

  • спасибо, я уже решила сама, там легко
    • Автор:

      elysej75h
    • 6 лет назад
    • 0
  • )))
    • Автор:

      ryan65
    • 6 лет назад
    • 0
  • Скачай это, с 5 класса пользуюсь!
    answer img
  • Добавить свой ответ

Войти через Google

или

Забыли пароль?

У меня нет аккаунта, я хочу Зарегистрироваться

How much to ban the user?
1 hour 1 day 100 years