• Уравнение. Знаю как решить, но не знаю как оформить
    Скину картинку, тк так удобнее и понятнее
    Спасибо, за ответ заранее

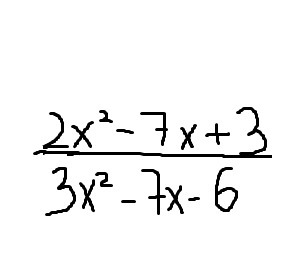
    question img

Ответы 3

  • класс, нифига не помогло, но, все равно, спасибо.
    • Автор:

      mookie
    • 6 лет назад
    • 0
  • с условием косяк...
  • это не уравнение. Это просто дробь, которую надо упростить, то есть сократить.

    Решение:

    а) числитель = 2х² - 7х +3 = 2(х - 3)(х - 1/2) = (х -3)(2х -1)

    корни трёхчлена будут 3 и 1/2

    D = 25

    х₁= (7 +5)/4 = 3

    х₂ = (7 -5)/4 = 1/2

    б) знаменатель = 3х² -7х -6 = 3(х - 8/3)(х +1/3) = (3х -8)(х +1/3)

    корни трёхчлена будут 8/3 и -1/3

    D= 81

    x₁= 8/3

    х₂ = -1/3

    А дробь-то не сокращается...

  • Добавить свой ответ

Еще вопросы

Войти через Google

или

Забыли пароль?

У меня нет аккаунта, я хочу Зарегистрироваться

How much to ban the user?
1 hour 1 day 100 years