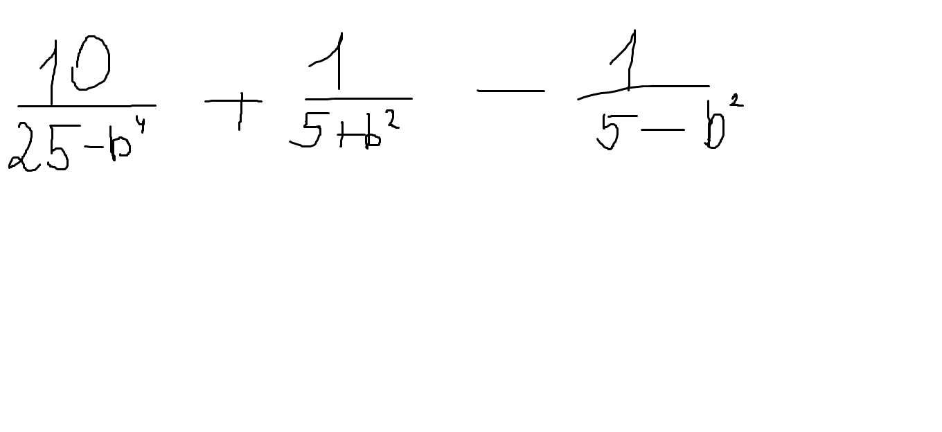
• Докажите, что при всех допустимых значениях переменой значение выражения положительно

    question img

Ответы 1

  • Числитель:10+5-в^-5-в^=10-2в^=2(5-в^)Знаменатель:(5-в^)(5+в^), сокращаем и ответ:2/(5+в^); 5>0;5+в^>0, значит все выражение >0
  • Добавить свой ответ

Еще вопросы

Войти через Google

или

Забыли пароль?

У меня нет аккаунта, я хочу Зарегистрироваться

How much to ban the user?
1 hour 1 day 100 years