Предмет:
АлгебраАвтор:
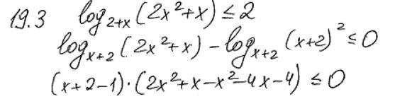
swiss miss5nihВо второй строчке прологарифмировали двойку)
В третьей строчке применили правило единицы или метод рационализации, примеры внизу:
Очень помогает в решении подобных логарифмических неравенствах
Автор:
alissa7s8fДобавить свой ответ
Предмет:
МатематикаАвтор:
aliyastephensonОтветов:
Смотреть
Предмет:
БиологияАвтор:
sophietq74Ответов:
Смотреть
Предмет:
МатематикаАвтор:
nonagentryОтветов:
Смотреть
Предмет:
МатематикаАвтор:
gerardo744Ответов:
Смотреть