• ДАЮ 1ОО БАЛЛОВ!!!

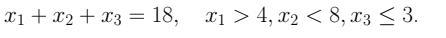
    Определить, сколько решений в неотрицательных целых числах
    имеет уравнение x1 + x2 + x3 = k, если переменные x1, x2, x3 удовлетворяют
    заданным неравенствам

    Дискретная математика, второй курс

    question img

Ответы 2

  • я правильно понимаю?!
  • напримерx1=10x2=7x3=3вариантов может быть много надо все перебирать
    • Автор:

      sienna67
    • 6 лет назад
    • 0
  • Добавить свой ответ

Войти через Google

или

Забыли пароль?

У меня нет аккаунта, я хочу Зарегистрироваться

How much to ban the user?
1 hour 1 day 100 years