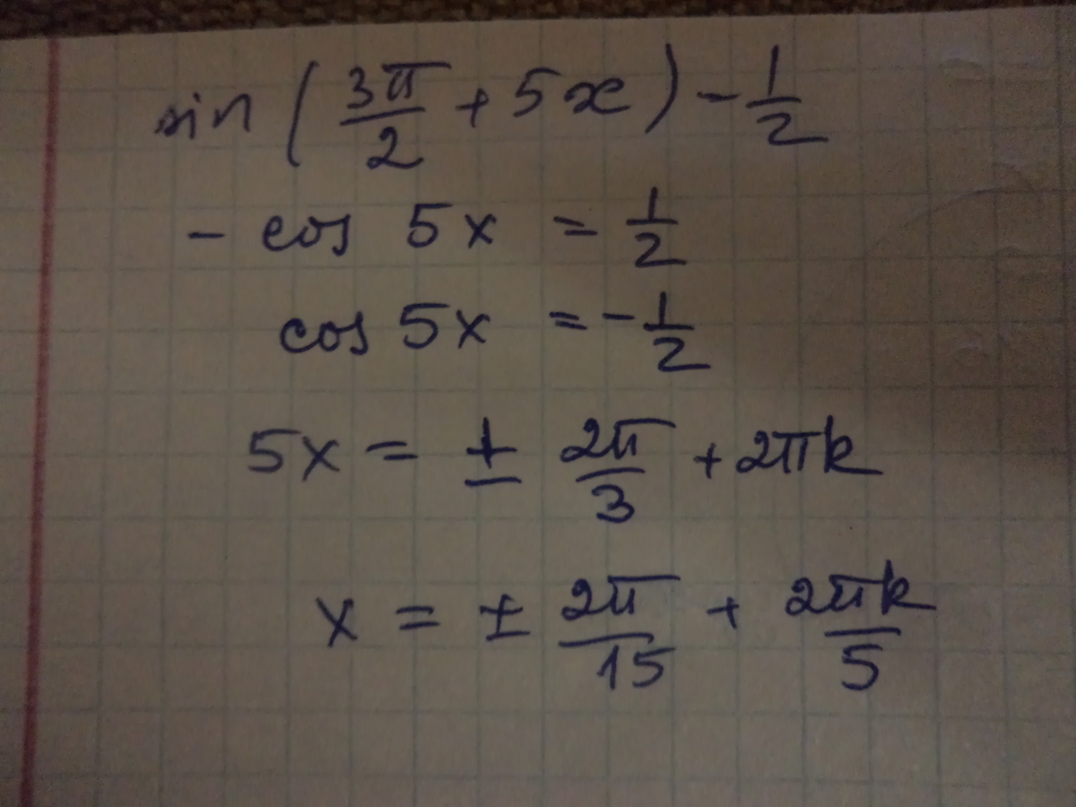
• Помогите пожалуйста! Нужно найти корни уравнения sin(3π/2+5x)=1/2 

Ответы 1

  • решениеееееееееееееееееееееееееееее
    answer img
    • Автор:

      mileynjew
    • 2 года назад
    • 18
  • Добавить свой ответ

Войти через Google

или

Забыли пароль?

У меня нет аккаунта, я хочу Зарегистрироваться

How much to ban the user?
1 hour 1 day 100 years