• Помогите, пожалуйста! Нужно решить систему уравнения.

    question img

Ответы 1

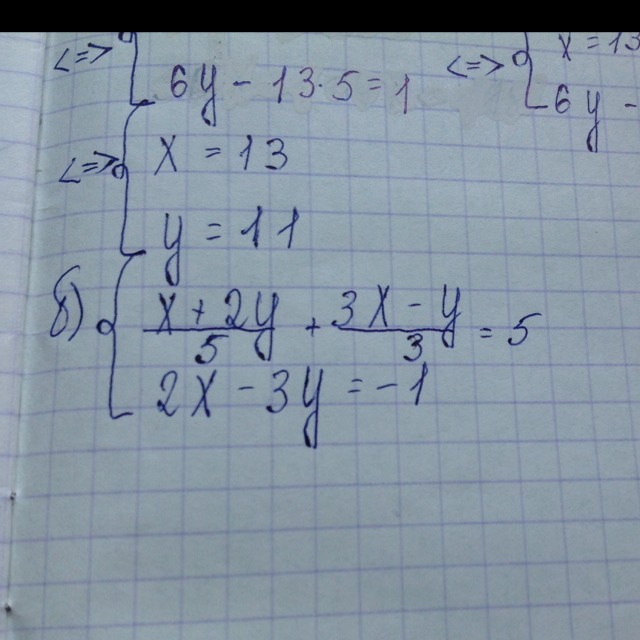
  •  \left \{ {{ \frac{x+2y}{5}+ \frac{3x-y}{3}=5 } \atop {2x-3y=-1}} ight.  \left \{ {{3x+6y}+ {15x-5y}=75 } \atop {2x-3y=-1}} ight.   \left \{y+ 18x=75 } \atop {2x-3y=-1}} ight.   из первого уравнения:y=75-18xподставляем во второе:2x-3(75-18x)=-12x-225+54x=-156x-225=-156x=-1+22556x=224x=4y=75-18*4=3ответ: (4;3)
  • Добавить свой ответ

Войти через Google

или

Забыли пароль?

У меня нет аккаунта, я хочу Зарегистрироваться

How much to ban the user?
1 hour 1 day 100 years