• помогите решить? правильно начала? если да, то что не так?

    question img

Ответы 2

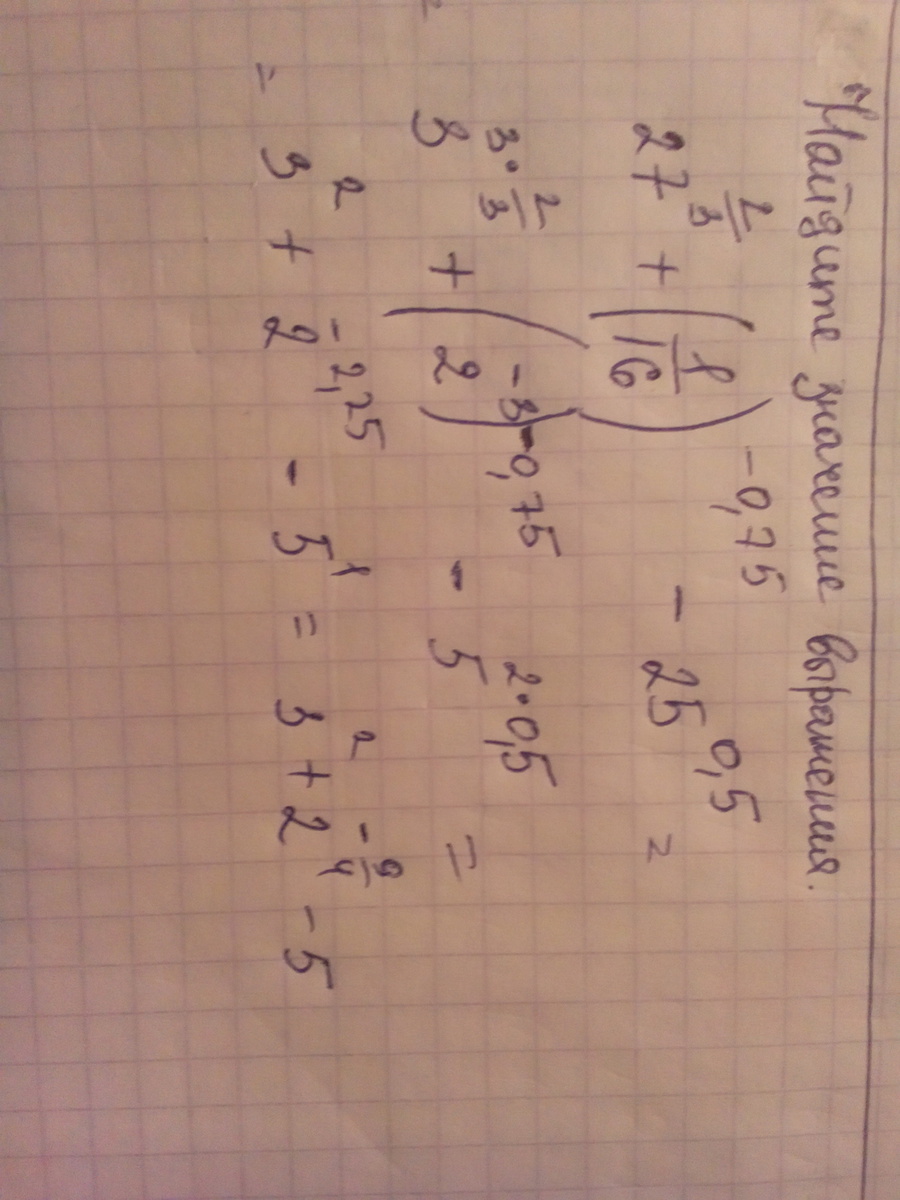
  • 16=2×2×2×2=2^4 4×0.75=3
  • а у меня получилось так...
    answer img
    • Автор:

      baxter
    • 6 лет назад
    • 0
  • Добавить свой ответ

Войти через Google

или

Забыли пароль?

У меня нет аккаунта, я хочу Зарегистрироваться

How much to ban the user?
1 hour 1 day 100 years