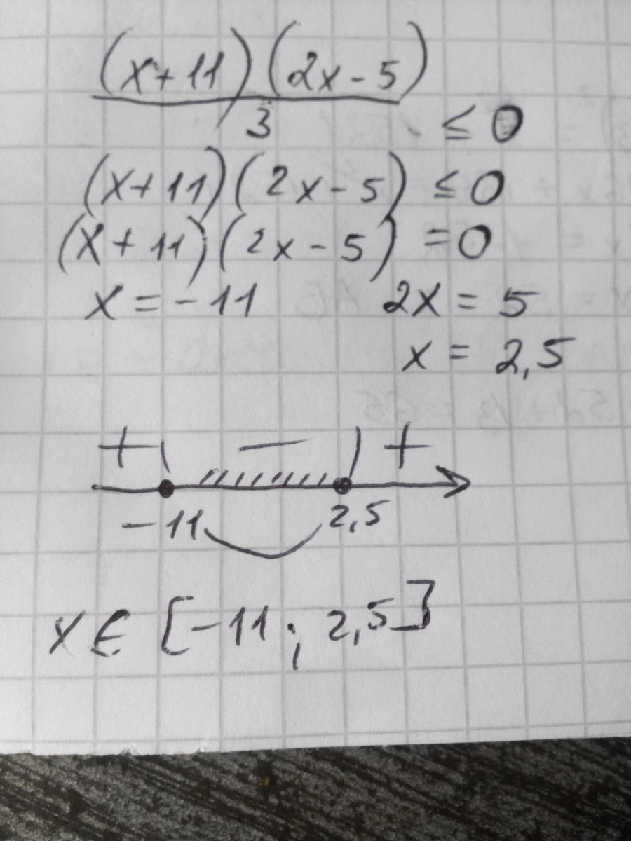
• решите неравенство (х+11)(2х-5) / 3 меньше либо равно 0

Ответы 1

  • ................. .........
    answer img
  • Добавить свой ответ

Еще вопросы

Войти через Google

или

Забыли пароль?

У меня нет аккаунта, я хочу Зарегистрироваться

How much to ban the user?
1 hour 1 day 100 years