• найдите стороны треугольника,если их длины пропорциональны числам 3,4,5,а периметр треугольника 24 см

    question img

Ответы 2

  • 3х - первая сторона 4х - вторая сторона 5х - третья сторона 3х+4х+5х=2412х=24х=2 3*2=6 (см) - первая сторона4*2=8 (см) - вторая сторона5*2=10 (см) - третья сторона 
    • Автор:

      casey72
    • 6 лет назад
    • 0
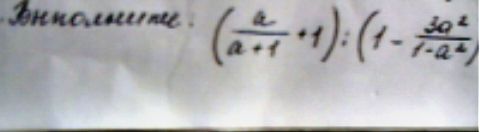
  •  \frac{2a+1}{a+1}: \frac{1-4 a^{2} }{1- a^{2} }   \\  \\  \frac{2a+1}{a+1} *  \frac{(1-a)(1+a)}{(1-2a)(1+2a)} \\  \\  \frac{1-a}{1-2a}
  • Добавить свой ответ

Еще вопросы

Войти через Google

или

Забыли пароль?

У меня нет аккаунта, я хочу Зарегистрироваться

How much to ban the user?
1 hour 1 day 100 years