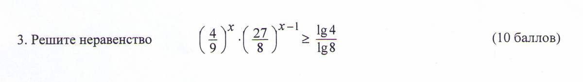
• Помогите пожалуйста

    (4/9)^x * (27/8)^x-1 >= lg4/lg8

    question img

Ответы 1

  • (2/3)^2x +(3/2)^3x-3=(2/3)^2x +(2/3)^3-3x=(2/3)^3-xlg4/lg8=log(8)4=log(2)4/log(2)8=2/3(2/3)^3-x≥2/33-x≤1⇒x≥2⇒x∈[2;≈)
  • Добавить свой ответ

Войти через Google

или

Забыли пароль?

У меня нет аккаунта, я хочу Зарегистрироваться

How much to ban the user?
1 hour 1 day 100 years