• Помогите пожалуйста уравнения и сократить дробь!!!

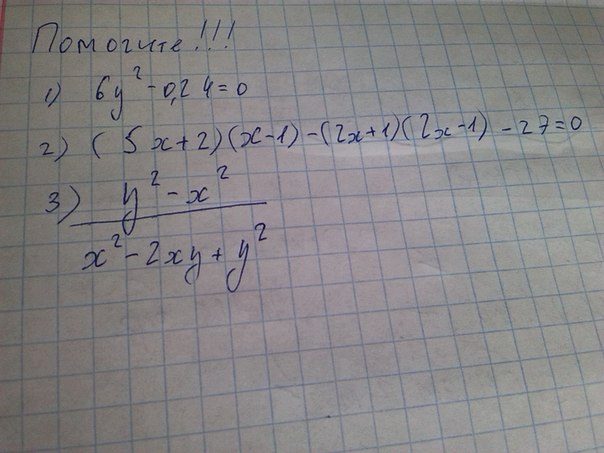
    question img

Ответы 3

  • Спасибо)
    • Автор:

      pamela
    • 6 лет назад
    • 0
  • ^.^
  • 1) 6y^2-0.24=0, 6y^2=0.24, y^2= \frac{0.24}{6} , y^2=4,  y_{1} =2,  y_{2} =-22) (5x+2)(x-1)-(2x+1)(2x-1)-27=05x^2-5x+2x-2-4x^2+1-27=0x^2-3x-28=0D=3^2-4*(-28)=9+112=121=11^2x_{1} = \frac{3+11}{2} =7x_{2} = \frac{3-11}{2} = -43)  \frac{y^2-x^2}{x^2-2xy+y^2} = \frac{(y-x)(y+x)}{(x-y)^2} = \frac{x+y}{x-y}
    • Автор:

      cecilia59
    • 6 лет назад
    • 0
  • Добавить свой ответ

Еще вопросы

Войти через Google

или

Забыли пароль?

У меня нет аккаунта, я хочу Зарегистрироваться

How much to ban the user?
1 hour 1 day 100 years