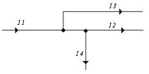
• Вычислите чему равен i1
    I2 = 40 A
    I3 = 25 A
    I4 = 16 A

    question img

Ответы 1

  • т.к. здесь пралельлное соединение то Ι1=Ι2+Ι3+I4I1=40+25+16=81
  • Добавить свой ответ

Еще вопросы

Войти через Google

или

Забыли пароль?

У меня нет аккаунта, я хочу Зарегистрироваться

How much to ban the user?
1 hour 1 day 100 years