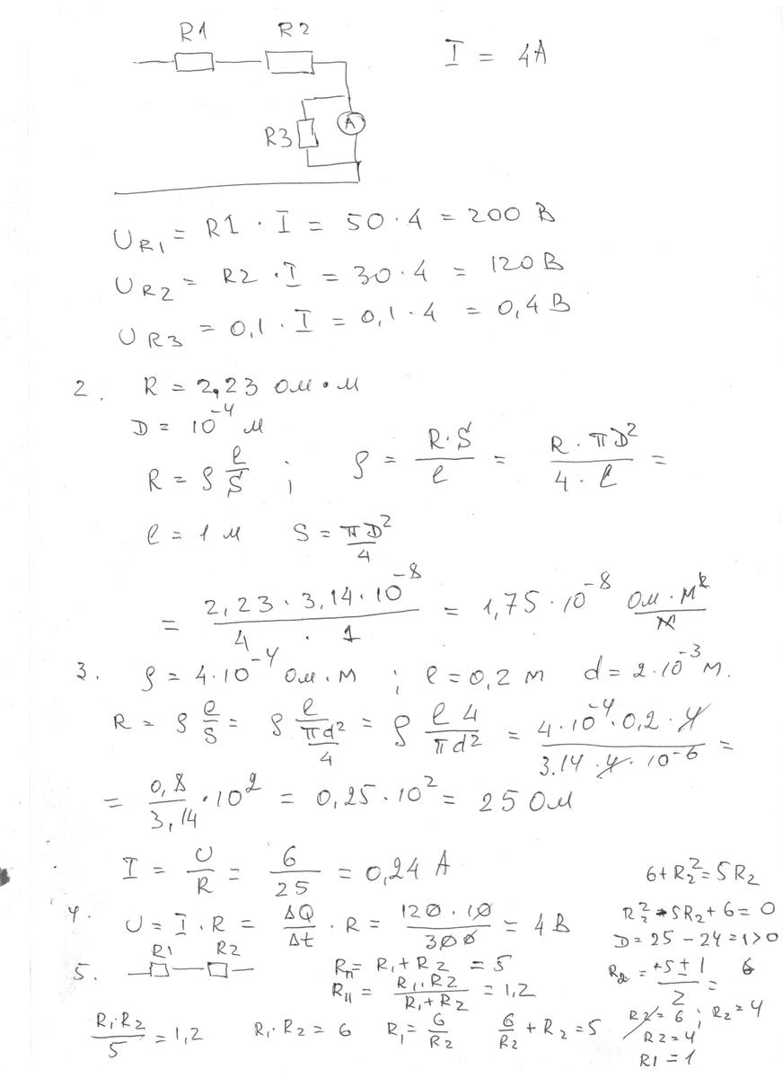
• помогите пожалуйста!!!!!! 1)В электрическую цепь последовательно включены плитка, реостат и амперметр, сопротивления которых R1 = 50 Ом, R2 = 30 Ом и R3 = 0,1 Ом. Найти напряжение на плитке, реостате и амперметре, если в цепи протекает ток I = 4 А. 2) Сопротивление медной проволоки, длиной 1 м, равно 2,23 Ом · м. Найти удельное сопротивление меди, если диаметр проволоки 10-4 м. 3) удельное сопротивление графитового стержня от карандаша 4*10^-4 Ом · м. Какой ток пройдет по стержню, если по нему подать напряжение 6В? Длина стержня 0,2 м, его диаметр 2 ·10^ -3 м. 4) Определите падение напряжения на проводнике, имеющем сопротивление 10 Ом, если известно, что за 5 мин по нему прошел заряд 120 Кл. 5) Общее сопротивление двух проводников, соединенных последователь, 5 Ом. А параллельно соединенных 1,2 Ом. Определить сопротивление каждого проводника.

Ответы 1

  • решение прилагается -------------
    answer img
    • Автор:

      kai773
    • 2 года назад
    • 19
  • Добавить свой ответ

Еще вопросы

Войти через Google

или

Забыли пароль?

У меня нет аккаунта, я хочу Зарегистрироваться

How much to ban the user?
1 hour 1 day 100 years