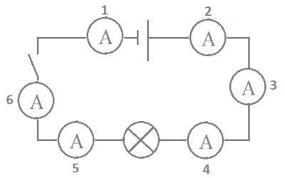
• амперметр 2 показывает силу тока 0,49 А. Какую силу тока показывает амперметр 6?

    Ответ: амперметр 6 показывает ....

    question img

Ответы 1

  • Соединение последовательное: при последовательном соединении сила тока на всех участках цепи равна → Сила тока на 6-ом амперметре 0,49 А
    • Автор:

      daniel73
    • 6 лет назад
    • 0
  • Добавить свой ответ

Войти через Google

или

Забыли пароль?

У меня нет аккаунта, я хочу Зарегистрироваться

How much to ban the user?
1 hour 1 day 100 years