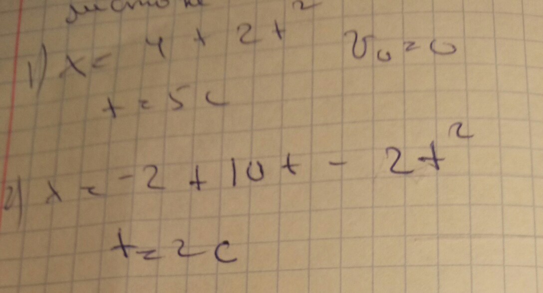
• ребята, помогите помогите решить задачу по физике на равноускоренное движение с описанием движения тела, а то не понимаю как решить . 1)x=4+2t^2 t=5с 2) x=-2+10t-2t^2 t=2с

    question img

Ответы 2

  • спасибо) 0)0)0
    • Автор:

      jane2
    • 6 лет назад
    • 0
  • Оба движения прямолинейные равноускоренные ,т.к. Формула зависимости координаты от времени пишется x=x0+V0t+at^2/2. =>в первом случае x=4+2t^2. x0=4;a=4м/с^2. Движение без начальной скорости. Во втором случае x0=-2. V0=10 a=4м/с^2(ускорение без минуса,так как ускорение не может быть отрицательным,в таком случае используют формулу x=x0+V0t-at^2/2;поэтому ускорение равно 4).
    • Автор:

      alfmartin
    • 6 лет назад
    • 0
  • Добавить свой ответ

Войти через Google

или

Забыли пароль?

У меня нет аккаунта, я хочу Зарегистрироваться

How much to ban the user?
1 hour 1 day 100 years