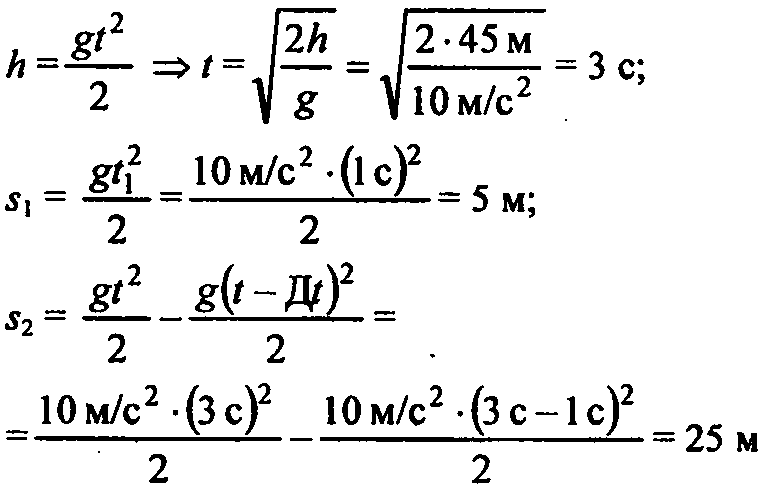
маленький стальной шарик упал с высоты 45м. сколько времени длилось его падение? какое перемещение совершил шарик за первую и последнюю секунды своего движения?(g=10м/с^)
Автор:
julius4aovДобавить свой ответ
Предмет:
Русский языкАвтор:
karliqv1kОтветов:
Смотреть
1. Прочитайте текст, раскрывая скобки.
Весной Володя подобрал на берегу мокрого птенца. Птенец (не) умел летать. Владимир обогрел, высушил его и оставил дома. Аккуратно кормил, ходил с ним к берегу. Чайка выросла и вернулась в свою колонию. Володя (не) стал её (не) волить. Но она (не) забыла своего спасителя. Иногда прилетает и долго сидит на крыше бревенчатой избы. А когда Володя приходит на берег, чайка узнаёт его и опускается на плечо. Прохожие её (не) пугают.
2.Найдите прдложения с однородными членами и подчеркните.
Предмет:
Русский языкАвтор:
lexieyi5zОтветов:
Смотреть
Предмет:
Русский языкАвтор:
elliotllapОтветов:
Смотреть