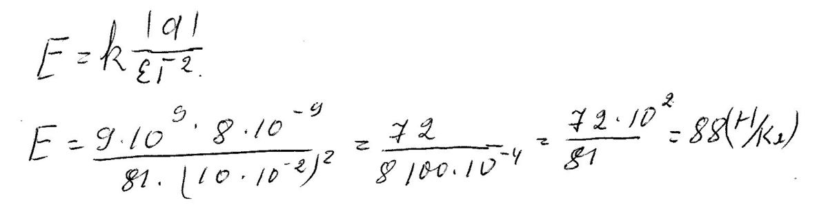
• найти напряженность электрического поля в точке удаленной от заряда 8нКл на расстоянии 10 см' если Е=81

Ответы 1

  • Посмотри, может поможет. Думаю так.
    answer img
  • Добавить свой ответ

Войти через Google

или

Забыли пароль?

У меня нет аккаунта, я хочу Зарегистрироваться

How much to ban the user?
1 hour 1 day 100 years