• Помогитееее!!!
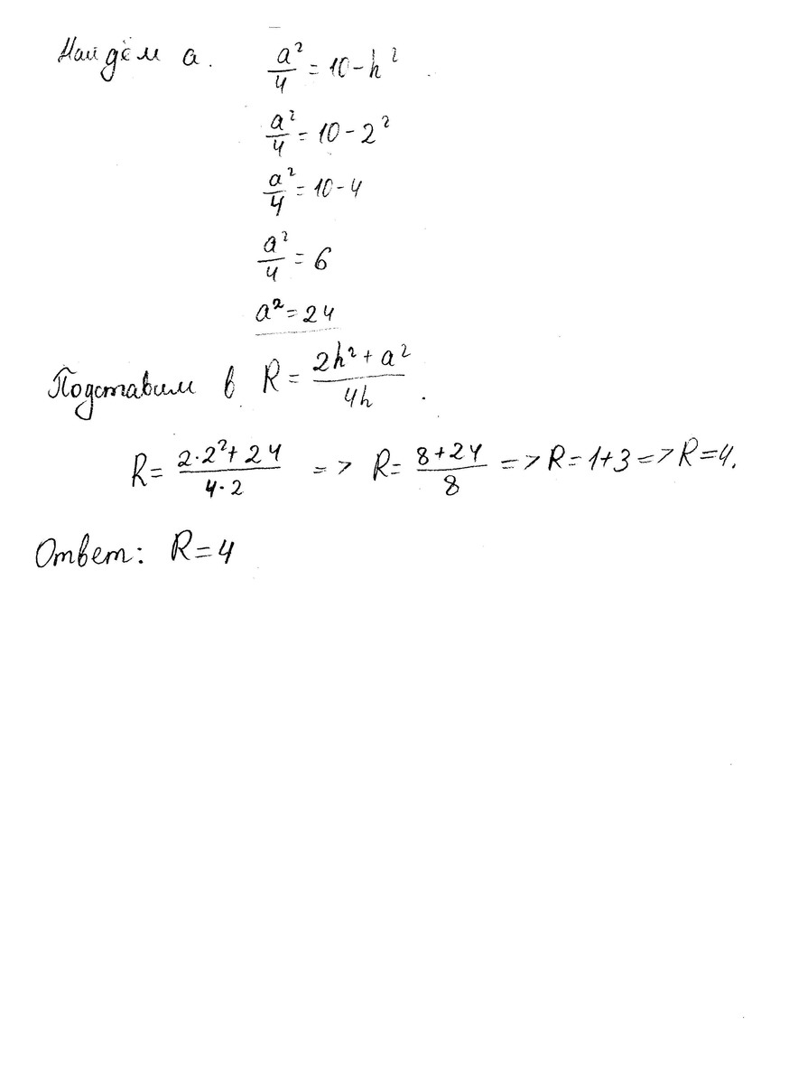
    Найдите радиус шара, описанного около правильной четырехугольной пирамиды в которой боковое ребро составляет угол 30 с плоскостью основания, а длина апофемы равна корню из 10

Ответы 1

  • Решение в приложении. Должно быть понятно.
    answer img
    answer img
  • Добавить свой ответ

Еще вопросы

Войти через Google

или

Забыли пароль?

У меня нет аккаунта, я хочу Зарегистрироваться

How much to ban the user?
1 hour 1 day 100 years